728x90
반응형

BFS 2

[Algorithm] 백준 16234번 인구 이동 (Java)

토마토 문제와 비슷한데 조금 더 난이도 있는 문제였다..!아직 그래프 탐색에 익숙하지 않아서 푸는데 시간이 좀 걸렸다.더 많은 문제를 풀어봐야할 것 같다!https://www.acmicpc.net/problem/16234 문제N×N크기의 땅이 있고, 땅은 1×1개의 칸으로 나누어져 있다. 각각의 땅에는 나라가 하나씩 존재하며, r행 c열에 있는 나라에는 A[r][c]명이 살고 있다. 인접한 나라 사이에는 국경선이 존재한다. 모든 나라는 1×1 크기이기 때문에, 모든 국경선은 정사각형 형태이다.오늘부터 인구 이동이 시작되는 날이다.인구 이동은 하루 동안 다음과 같이 진행되고, 더 이상 아래 방법에 의해 인구 이동이 없을 때까지 지속된다.국경선을 공유하는 두 나라의 인구 차이가 L명 이상, R명 이하라면, ..

Algorithm/Baekjoon 2024.10.10

[자료구조] DFS와 BFS

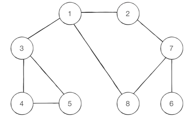
1. DFS (Depth-First Search) DFS는 깊이 우선 탐색이라고도 부르며 그래프에서 깊은 부분을 우선적으로 탐색하는 알고리즘 DFS는 스택 자료구조(혹은 재귀 함수)를 이용하며, 구체적인 동작 과정은 다음과 같다. 탐색 시작 노드를 스택에 삽입하고 방문 처리를 한다. 스택의 최상단 노드에 방문하지 않은 인접한 노드가 하나라도 있으면 그 노드를 스택에 넣고 방문 처리한다. 방문하지 않은 인접 노드가 없으면 스택에서 최상단 노드를 꺼낸다. 더 이상 2번의 과정을 수행할 수 없을 때까지 반복한다. 동작 예시 [Step 0] 그래프를 준비한다. (방문 기준: 번호가 낮은 인접 노드부터) 시작 노드: 1 [Step 1] 시작 노드인 ‘1’을 스택에 삽입하고 방문 처리한다. [Step 2] 스택의 ..

CS/자료구조 2024.02.02
728x90
반응형