728x90
반응형
1. 우선순위 큐(Priority Queue)
- 우선순위가 가장 높은 데이터를 가장 먼저 삭제하는 자료구조
- 데이터를 우선순위에 따라 처리하고 싶을 때 사용
- 구현 방법
- 단순 리스트 이용
- 힙(Heap) 이용
- 시간 복잡도 비교
구현 방법 삽입 시간 삭제 시간 리스트 O(1) O(N) 힙(Heap) O(logN) O(logN) - 힙(Heap) 정렬
- 단순히 N개의 데이터를 힙(Heap)에 넣었다가 모두 꺼내는 작업
- 시간 복잡도: O(NlogN)
2. 힙(Heap)
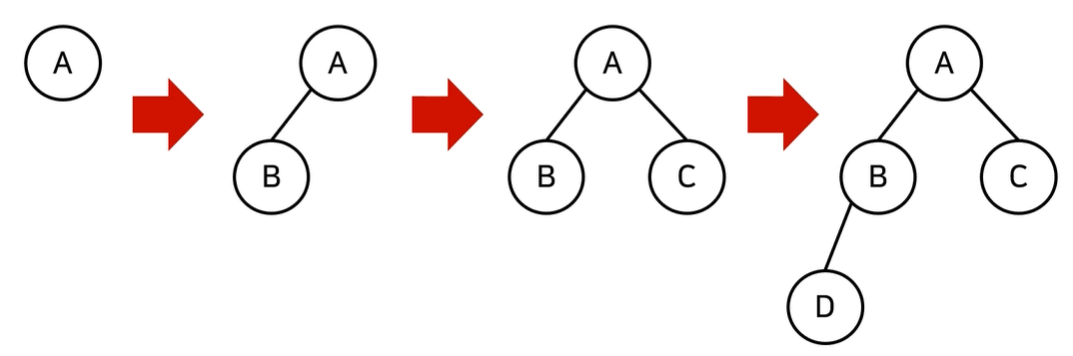
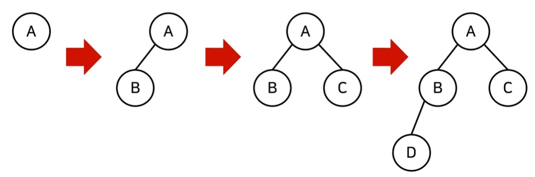
- 완전 이진 트리(Complete Binary Tree) 자료구조
- 루트(root) 노드부터 시작하여 왼쪽 자식 노드, 오른쪽 자식 노드 순서대로 데이터가 차례대로 삽입되는 트리(tree)

- 루트(root) 노드부터 시작하여 왼쪽 자식 노드, 오른쪽 자식 노드 순서대로 데이터가 차례대로 삽입되는 트리(tree)
- 항상 루트 노드(root node) 제거
- 최소 힙(min heap)
- 루트 노드가 가장 작은 값을 가짐
- 따라서 값이 작은 데이터가 우선적으로 제거

- 최대 힙(max heap)
- 루트 노드가 가장 큰 값을 가짐
- 따라서 값이 큰 데이터가 우선적으로 제거
- 최소 힙 구성 함수: Min-Heapify()
- (상향식) 부모 노드로 거슬러 올라가며, 부모보다 자신의 값이 더 작은 경우에 위치 교체

- (상향식) 부모 노드로 거슬러 올라가며, 부모보다 자신의 값이 더 작은 경우에 위치 교체
- 힙에 새로운 원소가 삽입될 때
- 새로운 원소가 삽입되었을 때 O(logN)의 시간 복잡도로 힙 성질 유지하도록 할 수 있음

- 새로운 원소가 삽입되었을 때 O(logN)의 시간 복잡도로 힙 성질 유지하도록 할 수 있음
- 힙에서 원소가 제거될 때
- 원소가 제거되었을 때 O(logN)의 시간 복잡도로 힙 성질을 유지하도록 할 수 있음
- 원소를 제거할 때는 가장 마지막 노드가 루트 노드의 위치에 오도록 함

- 이후에 루트 노드에서부터 하향식으로(더 작은 자식 노드로) Heapify() 진행

- 원소를 제거할 때는 가장 마지막 노드가 루트 노드의 위치에 오도록 함
- 원소가 제거되었을 때 O(logN)의 시간 복잡도로 힙 성질을 유지하도록 할 수 있음
- 우선순위 큐 라이브러리를 활용한 힙 정렬 구현 예제 - 오름차순 정렬(min부터)
- Python
import sys import heapq input = sys.stdin.readline def heapsort(iterable): heap = [] result = [] # 모든 원소를 차례대로 힙에 삽입 for value in iterable: heapq.heappush(heap, value) # 힙에 삽입된 모든 원소를 차례대로 꺼내서 담기 for i in range(len(heap)): result.append(heapq.heappop(heap)) return result n = int(input()) arr = [] for i in range(n): arr.append(int(input())) res = heapsort(arr) for i in range(n): print(res[i])
- Python
728x90
반응형
'CS > 자료구조' 카테고리의 다른 글
| [자료구조] 퀵 정렬과 계수 정렬 (0) | 2024.02.01 |
|---|---|
| [자료구조] 선택 정렬과 삽입 정렬 (0) | 2024.01.30 |
| [자료구조] 바이너리 인덱스 트리 (Binary Indexed Tree) (2) | 2024.01.30 |
| [자료구조] 트리 (Tree) (1) | 2024.01.30 |
| [자료구조] 스택(Stack) / 큐(Queue) (0) | 2024.01.29 |