728x90
반응형
1. 트리 (Tree)
- 계층적인 구조를 표현할 때 사용하는 자료구조

- 관련 용어
- 루트 노드 (root node)
- 부모가 없는 최상위 노드
- 단말 노드 (leaf node)
- 자식이 없는 노드
- 크기 (size)
- 트리에 포함된 모든 노드의 개수
- 깊이 (depth)
- 루트 노드부터의 거리
- 높이 (height)
- 깊이 중 최댓값
- 차수 (degree)
- 각 노드의 (자식 방향) 간선 개수
- 루트 노드 (root node)
- 기본적으로 트리의 크기가 N일 때, 전체 간선의 개수는 N-1개
2. 이진 탐색 트리 (Binary Search Tree)
- 이진 탐색이 동작할 수 있도록 고안된 효율적인 탐색이 가능한 자료구조
- 특징
- 왼쪽 자식 노드 < 부모 노드 < 오른쪽 자식 노드
- 부모 노드보다 왼쪽 자식 노드가 작음
- 부모 노드보다 오른쪽 자식 노드가 큼

- 왼쪽 자식 노드 < 부모 노드 < 오른쪽 자식 노드
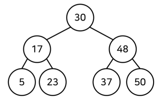
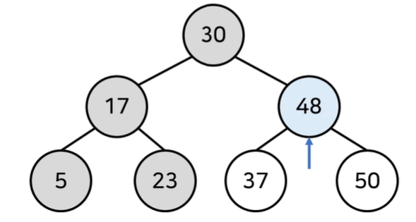
- 예시
- 이진 탐색 트리가 이미 구성되어 있다고 가정하고 데이터 조회하는 과정
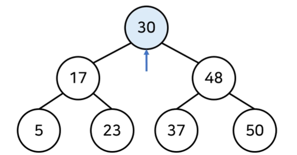
- 찾고자 하는 원소: 37
- [Step 1] 루트 노드부터 방문하여 탐색
- 현재 노드와 찾는 원소 37 비교
- 찾는 원소가 더 크므로 오른쪽 방문

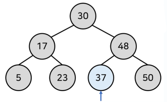
- [Step 2] 현재 노드와 값 비교
- 현재 노드와 찾는 원소 37 비교
- 찾는 원소가 더 작으므로 왼쪽 방문

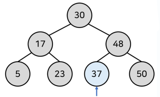
- [Step 3] 현재 노드와 값 비교
- 현재 노드와 찾는 원소 37 비교
- 원소를 찾았으므로 탐색 종료

- 위와 같이 이상적인 경우의 시간 복잡도는 O(logN)
- 최악의 경우, O(N)
3. 트리의 순회 (Tree Traversal)
- 트리 자료구조에 포함된 노드를 특정한 방법으로 한 번씩 방문하는 방법
- 트리의 정보를 시각적으로 확인 가능
- 대표적인 트리 순회 방법
- 전위 순회 (pre-order traverse)
- 루트 먼저 방문
- 루트 - 왼쪽 자식 - 오른쪽 자식
- 중위 순회 (in-order traverse)
- 왼쪽 자식을 방문한 뒤 루트 방문
- 왼쪽 자식 - 루트 - 오른쪽 자식
- 후위 순회 (post-order traverse)
- 오른쪽 자식을 방문한 뒤 루트 방문
- 왼쪽 자식 - 오른쪽 자식 - 루트
- 전위 순회 (pre-order traverse)
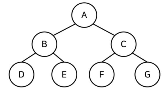
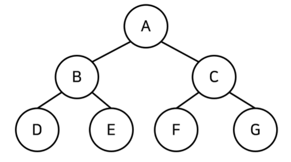
- 예시

- 전위 순회 (pre-order traverse)
- A → B → D → E → C → F → G
- 중위 순회 (in-order traverse)
- D → B → E → A → F → C → G
- 후위 순회 (post-order traverse)
- D → E → B → F → G → C → A
- 전위 순회 (pre-order traverse)
- 예제
private Node<E> root; // 전위 순회 (Pre-order Traversal) private Queue<E> preOrder(Node<E> link){ Queue<E> res = new Queue<E>(); if(link != null) { res.enqueue(link.getData()); } if(link.getLeftChild() != null) { res.concat(preOrder(link.getLeftChild())); } if(link.getRightChild() != null) { res.concat(preOrder(link.getRightChild())); } return res; } // 중위 순회 (In-order Traversal) private Queue<E> inOrder(Node<E> link) { Queue<E> res = new Queue<E>(); if(link.getLeftChild() != null) { res.concat(inOrder(link.getLeftChild())); } if(link != null) { res.enqueue(link.getData()); } if(link.getRightChild() != null) { res.concat(inOrder(link.getRightChild())); } return res; } // 후위 순회 (Post-order Traversal) private Queue<E> postOrder(Node<E> link) { Queue<E> res = new Queue<E>(); if(link.getLeftChild() != null) { res.concat(postOrder(link.getLeftChild())); } if(link.getRightChild() != null) { res.concat(postOrder(link.getRightChild())); } if(link != null) { res.enqueue(link.getData()); } return res; }
728x90
반응형
'CS > 자료구조' 카테고리의 다른 글
| [자료구조] 퀵 정렬과 계수 정렬 (0) | 2024.02.01 |
|---|---|
| [자료구조] 선택 정렬과 삽입 정렬 (0) | 2024.01.30 |
| [자료구조] 바이너리 인덱스 트리 (Binary Indexed Tree) (2) | 2024.01.30 |
| [자료구조] 우선순위 큐(Priority Queue), 힙(Heap) (0) | 2024.01.29 |
| [자료구조] 스택(Stack) / 큐(Queue) (0) | 2024.01.29 |