728x90
반응형
1. 트리 (Tree)
- 노드와 링크로 구성된 비선형 자료구조 (그래프의 일종, Cycle 없음)
- 계층적 구조를 나타낼 때 사용
- 폴더 구조 (디렉토리, 서브 디렉토리)
- 조직도, 가계도, ...
2. 트리의 구조
- 노드 (Node) : 트리 구조의 자료 값을 담고 있는 단위
- 엣지 (Edge) : 노드 간의 연결선 (= link, branch)
- 루트 노드 (Root) : 부모가 없는 노드, 가장 위의 노드
- 잎새 노드 (Leaf) : 자식이 없는 노드 (= 단말)
- 내부 노드 (Internal) : 잎새 노드를 제외한 모든 노드
- 부모 (Parent) : 연결된 두 노드 중 상위의 노드
- 자식 (Child) : 연결된 두 노드 중 하위의 노드
- 형제 (Sibling) : 같은 부모를 가지는 노드
- 깊이 (Depth) : 루트에서 어떤 노드까지의 간선의 수
- 레벨 (Level) : 트리의 특정 깊이를 가지는 노드 집합
- 높이 (Height) : 트리에서 가장 큰 레벨 값
- 크기 (Size) : 자신을 포함한 자식 노드의 개수
- 차수 (Degree) : 각 노드가 지닌 가지의 수
- 트리의 차수: 트리의 최대 차수

3. 트리의 특징
- 하나의 노드에서 다른 노드로 이동하는 경로는 유일
- 노드가 N개인 트리의 Edge의 수는 N-1개
- Acyclic (Cycle이 존재하지 않음)
- 모든 노드는 서로 연결되어 있음
- 하나의 Edge를 끊으면 2개의 Sub-Tree로 분리됨
4. 이진 트리 (Binary Tree)
- 각 노드는 최대 2개의 자식을 가질 수 있음
- 자식 노드는 좌우를 구분함
- 왼쪽 자식 : 부모 노드의 왼쪽 아래
- 오른쪽 자식 : 부모 노드의 오른쪽 아래

5. 이진 트리 종류
- 포화 이진 트리 (Perfect Binary Tree)
- 모든 레벨에서 노드들이 꽉 채워져 있는 트리
- 완전 이진 트리 (Complete Binary Tree)
- 마지막 레벨을 제외하고 노드들이 모두 채워져 있는 트리

- 마지막 레벨을 제외하고 노드들이 모두 채워져 있는 트리
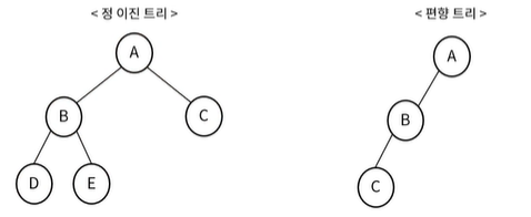
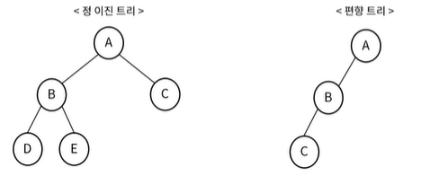
- 정 이진 트리 (Full Binary Tree)
- 모든 노드가 0개 또는 2개의 자식 노드를 갖는 트리
- 편향 트리 (Shewed Binary Tree) = 사향 트리
- 한쪽으로 기울어진 트리

- 한쪽으로 기울어진 트리
- 균형 이진 트리 (Balanced Binary Tree)
- 모든 노드의 좌우 서브 트리 높이가 1 이상 차이 나지 않는 트리

- 모든 노드의 좌우 서브 트리 높이가 1 이상 차이 나지 않는 트리
6. 이진 트리 특징
- 포화 이진 트리의 높이가 h일 떄, 노드의 수는 2^(h+1) - 1 개
- 포화 (or 완전) 이진 트리의 노드가 N개 일 때, 높이는 log N
- 이진 트리의 노드가 N개일 때, 최대 가능 높이는 N
7. 이진 트리 순회 (Traversal)
- 모든 노드를 빠뜨리거나 중복하지 않고 방문하는 연산
- 순회 종류는 4가지
- 전위 순회, 중위 순회, 후위 순회 (DFS)
- 레벨 순회 (BFS)
- 전위 순회 (Preorder Traversal)
- 방문 순서: 현재 노드 -> 왼쪽 노드 -> 오른쪽 노드

- 방문 순서: 현재 노드 -> 왼쪽 노드 -> 오른쪽 노드
- 중위 순회 (Inorder Traversal)
- 방문 순서: 왼쪽 노드 -> 현재 노드 -> 오른쪽 노드

- 방문 순서: 왼쪽 노드 -> 현재 노드 -> 오른쪽 노드
- 후위 순회 (Postorder Traversal)
- 방문 순서: 왼쪽 노드 -> 오른쪽 노드 -> 현재 노드

- 방문 순서: 왼쪽 노드 -> 오른쪽 노드 -> 현재 노드
- 레벨 순회 (Levelorder Traversal)
- 방문 순서: 위쪽 레벨부터 왼쪽 노드 -> 오른쪽 노드

- 방문 순서: 위쪽 레벨부터 왼쪽 노드 -> 오른쪽 노드
8. 이진 트리 구현
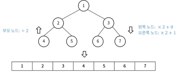
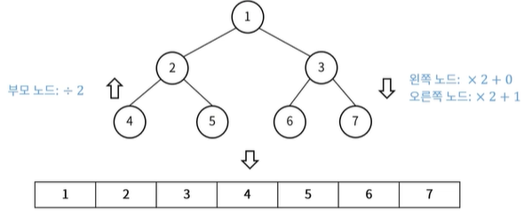
- 배열
- 레벨 순회 순으로 배열에 구성

- 레벨 순회 순으로 배열에 구성
- 연결 리스트
- 값과 간선을 관리하기 위한 노드로 연결 리스트 구성
9. 코드
// 배열을 이용한 이진 트리 구현 및 순회
class BinaryTree {
char[] arr;
BinaryTree(char[] data) {
this.arr = data.clone();
}
public void preOrder(int idx) {
System.out.println(this.arr[idx] + " ");
int left = 2 * idx + 1;
int right = 2 * idx + 2;
if(left < this.arr.length) {
this.preOrder(left);
}
if(right < this.arr.length) {
this.preOrder(right);
}
}
public void inOrder(int idx) {
int left = 2 * idx + 1;
int right = 2 * idx + 2;
if(left < this.arr.length) {
this.inOrder(left);
}
System.out.println(this.arr[idx] + " ");
if(right < this.arr.length) {
this.inOrder(right);
}
}
public void postOrder(int idx) {
int left = 2 * idx + 1;
int right = 2 * idx + 2;
if(left < this.arr.length) {
this.postOrder(left);
}
if(right < this.arr.length) {
this.postOrder(right);
}
System.out.println(this.arr[idx] + " ");
}
public void leverOrder(int idx) {
for(int i = 0; i < this.arr.length; i++) {
System.out.print(this.arr[i] + " ");
}
System.out.println();
}
}
// 연결 리스트를 이용한 이진 트리 구현 및 순회
class Node {
char data;
Node left;
Node right;
public Node(char data, Node left, Node right) {
this.data = data;
this.left = left;
this.righr = right;
}
}
class BinaryTree2 {
Node head;
BinaryTree2() {}
BinaryTree2(char[] arr) {
Node[] nodes = new Node[arr.length];
for(int i = 0; i < arr.length; i++) {
nodes[i] = new Node(arr[i], null, null);
}
for(int i = 0; i < arr.length; i++) {
int left = 2 * i + 1;
int right = 2 * i + 2;
if(left < arr.length) {
nodes[i].left = nodes[left];
}
if(right < arr.length) {
nodes[i].right = nodes[right];
}
}
this.head = nodes[0];
}
public void preOrder(Node node) {
if(node == null) {
return;
}
System.out.print(node.data + " ");
this.preOrder(node.left);
this.preOrder(node.right);
}
public void inOrder(Node node) {
if(node == null) {
return;
}
this.inOrder(node.left);
System.out.print(node.data + " ");
this.inOrder(node.right);
}
public void postOrder(Node node) {
if(node == null) {
return;
}
this.postOrder(node.left);
this.postOrder(node.right);
System.out.print(node.data + " ");
}
public void levelOrder(Node node) {
Queue<Node> queue = new LinkedList<>();
queue.add(node);
while(!queue.isEmpty()) {
Node cur = queue.poll();
System.out.print(cur.data + " ");
if(cur.left != null) {
queue.offer(cur.left);
}
if(cur.right != null) {
queue.offer(cur.right);
}
}
}
}728x90
반응형
'CS > 자료구조' 카테고리의 다른 글
| [자료구조] 이진 탐색 트리 (Binary Search Tree) 2 (0) | 2024.08.18 |
|---|---|
| [자료구조] 이진 탐색 트리 (Binary Search Tree) 1 (0) | 2024.08.18 |
| [자료구조] HashMap vs Hashtable (4) | 2024.08.17 |
| [자료구조] 해시 테이블 (Hash Table) (0) | 2024.08.17 |
| [자료구조] 데크 (Deque) (0) | 2024.08.17 |