728x90
반응형
1. 균형 이진 트리
- 모든 노드의 좌우 서브 트리 높이가 1 이상 차이 나지 않는 트리

2. 이진 탐색 트리의 편향 발생
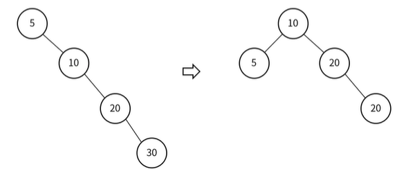
- Case 1) 이진 탐색 트리에 삽입되는 순서: 20 -> 10 -> 30 -> 5
- Case 2) 이진 탐색 트리에 삽입되는 순서: 5 -> 10 -> 20 -> 30

3. 균형 이진 탐색 트리 (Balanced Binary Search Tree)
- 노드의 삽입과 삭제가 일어날 때 균형을 유지하도록 하는 트리
- AVL 트리, Red-Black 트리

4. AVL 트리
- 노드가 삽입, 삭제될 때 트리의 균형을 체크하고 유지하는 트리
- 각 노드의 BF를 [-1, 0, 1]만 가지게 하여 균형을 유지
- BF (Balanced Factor)
- 왼쪽 서브 트리 높이 - 오른쪽 서브 트리 높이
5. AVL 트리 - 리밸런싱 (LL, RR, LR, RL)
- 균형이 깨진 경우
- BF가 '+'이면 왼쪽 서브 트리에 이상이 있음
- BF가 '-'이면 오른쪽 서브 트리에 이상이 있음
- 회전 연산
- 단순 회전 - LL, RR
- 이중 회전 - LR, RL
- LL (Left-Left)
- 회전 1회
- 오른쪽 방향으로 회전

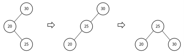
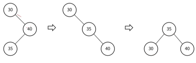
- RR (Right-Right)
- 회전 1회
- 왼쪽 방향으로 회전

- LR (Left-Right)
- 회전 2회
- RR 회전 후 LL 회전

- RL (Right- Left)
- 회전 2회
- LL 회전 후 RR 회전

6. 코드
// AVL 트리 - 삽입
class Node {
int key;
int height;
Node left;
Node right;
public Node(int key, Node left, Node right) {
this.key = key;
this.height = height;
this.left = left;
this.right = right;
}
}
class AVLTree {
Node head;
// 해당 노드에 대한 높이 반환
public int height(Node node) {
if(node == null) {
return -1;
}
return node.height;
}
// LL
public Node rightRotate(Node node) {
Node lNode = node.left;
node.left = lNode.right;
lNode.right = node;
node.height = Math.max(height(node.left), height(node.right)) + 1;
lNode.height = Math.max(height(lNode.left), height(lNode.right)) + 1;
return lNode;
}
// RR
public Node leftRotate(Node node) {
Node rNode = node.right;
node.right = rNode.left;
rNode.left = node;
node.height = Math.max(height(node.left), height(node.right)) + 1;
rNode.height = Math.max(height(rNode.left), height(rNode.right)) + 1;
return rNode;
}
// LR
public Node lrRotate(Node node) {
node.left = leftRotate(node.left);
return rightRotate(node);
}
// RL
public Node rlRotate(Node node) {
node.right = rightRotate(node.right);
return leftRotate(node);
}
// 왼쪽 서브 트리와 오른쪽 서브 트리의 균형 계산
// -1, 0, 1 중 하나면 정상
public int getBalance(Node node) {
if(node == null) return 0;
return height(node.left) - height(node.right);
}
// 노드 삽입
public void insert(int key) {
this.head = insert(this.head, key);
}
public Node insert(Node node, int key) {
if(node == null) return new Node(key, null, null);
if(key < node.key) {
node.left = insert(node.left, key);
} else {
node.right = insert(node.right, key);
}
node.height = Math.max(height(node.left), height(node.right)) + 1;
int balance = getBalance(node);
// LL
if(balance > 1 && key < node.left.key) {
return rightRotate(node);
}
// RR
if(balance < -1 && key > node.right.key) {
return leftRotate(node);
}
// LR
if(balance > 1 && key > node.left.key) {
return lrRotate(node);
}
// RL
if(balance < -1 && key > node.right.key) {
return rlRotate(node);
}
return node;
}
public void levelOrder(Node node) {
Queue<Node> queue = new LinkedList<>();
queue.add(node);
while(!queue.isEmpty()) {
Node cur = queue.poll();
System.out.print(cur.data + " ");
if(cur.left != null) {
queue.offer(cur.left);
}
if(cur.right != null) {
queue.offer(cur.right);
}
}
}
}
// AVL 트리 - 삭제
class AVLTree2 extends AVLTree {
public void delete(int key) {
this.head = delete(this.head, key);
}
public Node delete(Node node, int key) {
if(node == null) return null;
if(key < node.key) {
node.left = delete(node.left, key);
} else if(key > node.key) {
node.right = delete(node.right, key);
} else {
if(node.left == null) { // 자식 노드 1개인 경우
return node.right;
} else if(node.right == null) { // 자식 노드 1개인 경우
return node.right;
} else { // 자식 노드 2개인 경우
Node predecessor = node;
Node Successor = node.left;
while(successor.right != null) {
predecessor = successor;
successor = successor.right;
}
predecessor.right = successor.left;
node.key = successor.key;
}
}
node.height = Math.max(height(node.left), height(node.right)) + 1;
int balance = getBalance(node);
// LL
if(balance > 1 && getBalance(node.left) > 0) {
return rightRotate(node);
}
// RR
if(balance < -1 && getBalance(node.right) < 0) {
return leftRotate(node);
}
// LR
if(balance > 1 && getBalance(node.left) < 0) {
return lrRotate(node);
}
// RL
if(balance < -1 && getBalance(node.right) > 0) {
return rlRotate(node);
}
return node;
}
}728x90
반응형
'CS > 자료구조' 카테고리의 다른 글
| [자료구조] 이진 탐색 트리 (Binary Search Tree) 1 (0) | 2024.08.18 |
|---|---|
| [자료구조] 트리 (Tree) (0) | 2024.08.18 |
| [자료구조] HashMap vs Hashtable (4) | 2024.08.17 |
| [자료구조] 해시 테이블 (Hash Table) (0) | 2024.08.17 |
| [자료구조] 데크 (Deque) (0) | 2024.08.17 |