728x90
반응형
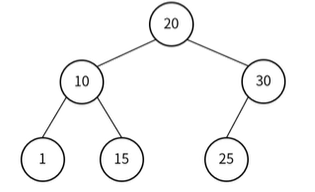
1. 이진 탐색 트리 (Binary Search Tree)
- 아래의 규칙으로 구성된 이진 트리
- 왼쪽 자식 노드의 키는 부모 노드의 키보다 작음
- 오른쪽 자식 노드의 키는 부모 노드의 키보다 큼
- 각각의 서브 트리도 이진 탐색 트리를 유지
- 중복된 키를 허용하지 않음

2. 이진 탐색 트리 특징
- 이진 탐색 트리 규칙에 의해 데이터 정렬
- 이진 트리에 비해 탐색 빠름 (균형 유지 필요)
- 균형 상태 : O(logN)
- 불균형 상태 : O(N)

3. 이진 탐색 트리 - 탐색
- 찾고자 하는 데이터를 루트 노드부터 비교 시작
- 대소 비교를 하여 찾는 데이터가 작으면 왼쪽, 크면 오른쪽 노드로 이동
- 찾는 데이터가 없으면 null 반환
- 어떤 데이터를 찾더라도 최대 트리 높이만큼의 탐색이 이루어짐

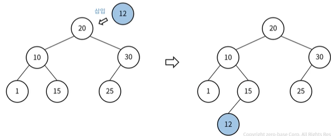
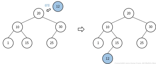
4. 이진 탐색 트리 - 삽입
- Root부터 비교 시작 (중복 키 발견 시 노드 추가하지 않고 종료)
- 삽입할 키가 현재 노드의 키보다 작으면 왼쪽으로 이동
- 삽입할 키가 현재 노드의 키보다 크면 오른쪽으로 이동
- Leaf 노드에 도달 후 키 비교하여 작으면 왼쪽, 크면 오른쪽에 삽입

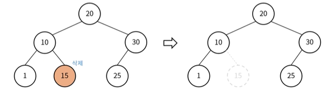
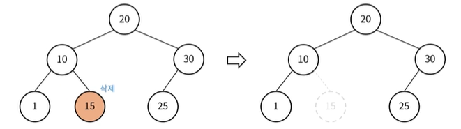
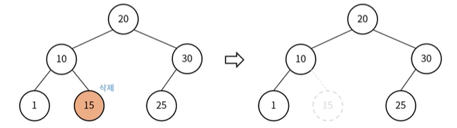
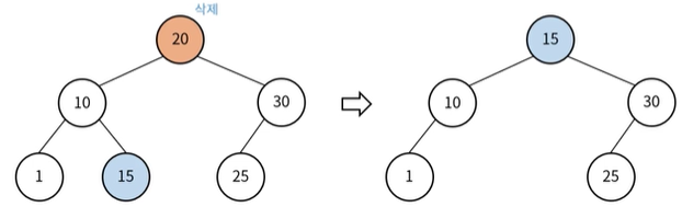
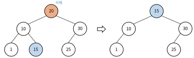
5. 이진 탐색 트리 - 삭제
- 삭제 대상 노드가 Leaf 노드인 경우
- 삭제 대상 노드 삭제
- 부모 노드의 해당 자식 링크 null로 변경

- 삭제 대상 노드에 자식 노드가 하나 있는 경우
- 자식 노드를 삭제 대상 노드의 부모 노드에 연결
- 삭제 대상 노드 삭제
- 삭제 대상 노드에 자식 노드가 둘인 경우
- 삭제 대상 노드의 왼쪽 서브 트리에서 가장 큰 노드 선택
- 삭제 대상 노드의 오른쪽 서브 트리에서 가장 작은 노드 선택
- 1번 또는 2번에서 선택한 노드를 삭제 대상 노드 위치로 올림
- 위로 올리는 과정에서 다른 자식 노드들의 링크 연결 작업 진행
- 삭제 대상 노드 삭제

6. 코드
class Node {
char data;
Node left;
Node right;
public Node(char data, Node left, Node right) {
this.data = data;
this.left = left;
this.righr = right;
}
}
class BinarySearchTree {
Node head;
BinarySearchTree(int key) {
this.head = new Node(key, null, null);
}
public void addNode(int key) {
if(this.head == null) {
this.head = new Node(key, null, null);
} else {
Node cur = this.head;
while(true) {
Node pre = cur;
if(key < cur.key) {
cur = cur.left;
if(cur == null) {
pre.left = new Node(key, null, null);
break;
}
} else {
cur = cur.right;
if(cur == null) {
pre.right = new Node(key, null, null);
break;
}
}
}
}
}
public void removeNode(int key) {
Node parent = null;
Node successor = null; // 후계자를 저장할 노드
Node predecessor = null; // successor의 부모 노드
Node child = null;
Node cur = this.head;
while(cur != null) {
if(key == cur.key) {
break;
}
parent = cur;
if(key < cur.key) {
cur = cur.left;
} else {
cur = cur.right;
}
}
if(cur == null) {
System.out.println("key에 해당하는 노드가 없습니다.");
return;
}
if(cur.left == null && cur.right == null) { // leaf 노드인 경우
if(parent == null) { // 노드가 하나인 경우
this.head = null;
} else {
if(parent.left == cur) {
parent.left = null;
} else {
parent.right = null;
}
}
} else if (cur.left != null && cur.right == null || cur.left == null && cur.right != null) { // 자식 노드가 1개인 경우
if(cur.left != null) {
child = cur.left;
} else {
child = cur.right;
}
if(parent == null) { // 현재 루트 노드인데 자식 노드가 1개인 경우
this.head = child;
} else {
if(parent.left == cur) {
parent.left = child;
} else {
parent.right = child;
}
}
} else { // 자식 노드가 둘인 경우
predecessor = cur;
successor = cur.left;
while(successor.right != null) {
predecessor = successor;
successor = successor.right;
}
predecessor.right = successor.left;
successor.left = cur.left;
successor.right = cur.right;
if(parent == null) {
this.head = successor;
} else {
if(parent.left == cur) {
parent.left = successor;
} else {
parent.right = successor;
}
}
}
}
public void levelOrder(Node node) {
Queue<Node> queue = new LinkedList<>();
queue.add(node);
while(!queue.isEmpty()) {
Node cur = queue.poll();
System.out.print(cur.data + " ");
if(cur.left != null) {
queue.offer(cur.left);
}
if(cur.right != null) {
queue.offer(cur.right);
}
}
}
}
// 재귀 함수 사용하여 이진 탐색 트리 구현
class BinarySearchTree2 {
Node head;
BinarySearchTree2(int key) {
this.head = new Node(key, null, null);
}
public Node addNodeRecursive(Node cur, int key) {
if(cur == null) {
return new Node(key, null, null);
}
if(key < cur.key) {
cur.left = addNodeRecursive(cur.left, key);
} else {
cur.right = addNodeRecursive(cur.right, key);
}
return cur;
}
public Node removeNodeRecursive(Node cur, int key) {
if(cur == null) {
return null;
}
if(key < cur.key) {
cur.left = removeNodeRecursive(cur.left, key);
} else if(keu > cur.key) {
cur.right = removeNodeRecursive(cur.right, key);
} else {
if(cur.left == null) {
return cur.right;
} else if(cur.right == null) {
return cur.left;
} else {
Node predecessor = cur;
Node successor = cur.left;
while(successor.right != null) {
predecessor = successor;
successor = successor.right;
}
predecessor.right = successor.left;
cur.key = successor.key;
}
}
return cur;
}
}728x90
반응형
'CS > 자료구조' 카테고리의 다른 글
| [자료구조] 이진 탐색 트리 (Binary Search Tree) 2 (0) | 2024.08.18 |
|---|---|
| [자료구조] 트리 (Tree) (0) | 2024.08.18 |
| [자료구조] HashMap vs Hashtable (4) | 2024.08.17 |
| [자료구조] 해시 테이블 (Hash Table) (0) | 2024.08.17 |
| [자료구조] 데크 (Deque) (0) | 2024.08.17 |